جمهورية العراق
وزارة الصحة
دائرة صحة كركوك
عاجل
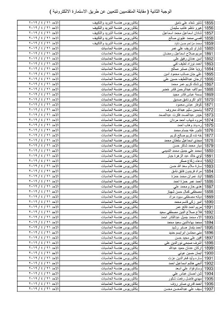
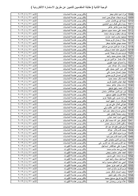
تدعو دائرة صحة كركوك الذوات المذكورة أسماؤهم وتسلسلاتهم وموعد المقابلة في القوائم المدرجة مع التفاصيل أدناه ( الوجبة الثالثة ) الذين قدموا طلبات التعيين (الكترونيا) على ملاك دائرة صحة كركوك ممن يتوفر فيهم شروط التعيين لغرض إجراء المقابلة والاختبار الشفوي :-
* مكان المقابلة/ (دائرة صحة كركوك / مركز تأهيل المعاقين) والكائن في (حي الواسطي ) .
* المستمسكات المطلوبة عند المقابلة/
* ملاحظة/
* القوائم/
متابعة القراءة...
وزارة الصحة
دائرة صحة كركوك
عاجل
تدعو دائرة صحة كركوك الذوات المذكورة أسماؤهم وتسلسلاتهم وموعد المقابلة في القوائم المدرجة مع التفاصيل أدناه ( الوجبة الثالثة ) الذين قدموا طلبات التعيين (الكترونيا) على ملاك دائرة صحة كركوك ممن يتوفر فيهم شروط التعيين لغرض إجراء المقابلة والاختبار الشفوي :-
* مكان المقابلة/ (دائرة صحة كركوك / مركز تأهيل المعاقين) والكائن في (حي الواسطي ) .
* المستمسكات المطلوبة عند المقابلة/
- وثيقة التخرج أو ما يثبت ذلك .
- المستمسكات الثبوتية لمقدم الطلب ( اصلية + نسخة مصورة ملونة) ولأفراد العائلة إذا كان مقدم الطلب (متزوج/ متزوجة) .
- البطاقة الوطنية الموحدة إن وجدت .
- ممن لديه عقد سابق او العاملين بأجور يومية (جلب المستمسكات التي تثبت ذلك) .
- اجازة سوق عمومي للمتقدمين على عنوان (سائق) .
* ملاحظة/
- جلب كافة المستمسكات المطلوبة أعلاه في يوم المقابلة وبخلافه يسقط حق المتقدم بالمطالبة بامتيازاته .
- يتحمل المتقدم للتعيين المسؤولية القانونية في حال عدم تطابق المعلومات التي تم ملؤها في الاستمارة الالكترونية مع المستمسكات الاصلية المقدمة اثناء المقابلة .
- يسقط حق كل من ورد اسمه في القوائم المنشورة في حال عدم حضوره للمقابلة في المكان والزمان المحددين .
- يتم الاعلان لإجراء الاختبارات التحريرية للمتقدمين للتعيين بعد اجتياز الاختبارات الشفوية .
* القوائم/
متابعة القراءة...
























